欢迎您访问52IJ教育培训网,今天小编为你分享的数学方面的学习知识是通过网络精心收集整理的:“maple_maple中的#有什么用[数学]”,注意:所整理内容不代表本站观点,如你有补充或疑问请在正文下方的评论处发表。下面是详细内容。
表示后面是注释
其他类似问题
问题1:用maple的高手来帮帮忙我现在想用maple来算一些几何中的问题,需要定义抽象的向量值函数具体来说,我要定义这种函数:x(s)=(x1(s),x2(s),x3(s))但是我要求x的定义式抽象的,而不是具体写出来的这[数学科目]
肯定可以的,我在网上看到一本Maple的书(Maple9.0符号处理及应用),目录就有定义向量函数
可以试试PositionVector
with(VectorCalculus):
> R1:= PositionVector([s,s^2,s+2],cartesian[x,y,z]);
[ s ]
[ ]
R1 := [ 2 ]
[ s ]
[ ]
[s + 2]
> diff(R1,s);
[ 1 ]
[ ]
[2 s]
[ ]
[ 1 ]
问题2:我是初学者 下面是抄的一段 例如sol dsolve 等等 越多越详细越好eq:=m*diff(v(x),x)=-b*v(x);ics:=v(0)=12;sol:=dsolve([eq,ics]);m:=1e8;b:=120000;vx:=rhs(sol);plot(vx,x=0..20000);fsolve(vx=1,x=1000..4000)restart:eq:=diff(N(t),t)=-0.7*[数学科目]
eq:=m*diff(v(x),x)=-b*v(x); #定义微分方程,记为eq
ics:=v(0)=12; #定义微分方程的初始条件,记为ics
sol:=dsolve([eq,ics]); #求解给定初始条件ics的微分方程eq,记求出的解为sol
m:=1e8;b:=120000; #给eq中的m,b赋值
vx:=rhs(sol); #提取sol的等号右边部分,记为vx
plot(vx,x=0..20000); #画出vx在x取0到20000时的图像
fsolve(vx=1,x=1000..4000) #求方程vx=1在1000到4000内的数值解
restart: #清除内存中的所有定义的变量,相当于重启
eq:=diff(N(t),t)=-0.7*N(t)/T12+60000*(Heaviside(t)-Heaviside(t-15)); #定义微分方程,记为eq. Heaviside是海维西特阶梯函数(Heaviside step function)
ics:=N(0)=0; #定义微分方程的初始条件,记为ics
restart: #清除内存中的所有定义的变量,相当于重启
vin:=sin(w*t); #定义一个二元函数记为vin
eq:=2*r*c*diff(vout(t),t)+vout(t)=r*c*diff(vin,t)+vin; #定义一个偏微分方程,记为eq
sol:=dsolve(eq); #求解偏微分方程eq,解记为sol
A:=-w*r*c/(1+4*w^2*r^2*c^2); #定义A
B:=(1+2*w^2*r^2*c^2)/(1+4*w^2*r^2*c^2); #定义B
Ampt:=sqrt(A^2+B^2); #定义函数Ampt
r:=1000;c:=100e-9; #Ampt中的r,c赋值
plot(Ampt,w=0..100000); #画出Ampt在x取0到100000内的图像
plot(Ampt,w=0..100000,view=0..1);#画出Ampt在x取0到100000内的图像,设定画出图像的纵坐标范围为0到1.即所画图象的显示中,横坐标范围是0到100000,纵坐标范围是0到1
问题3:怎样用maple计算z1 = 1+3i,z2 = 3+4i and z3 = 4-5iz1z2z3请问这个怎么用maple表达出来?还有一个是x^2 +3x+18 = 0怎么解决[数学科目]
z1 := 1+3*I; z2 := 3+4*I; z3 := 4-5*I;
z1*z2*z3
输出结果:29+97*I
注意是大写的字母I
solve(x^2+3*x+18 = 0, x)

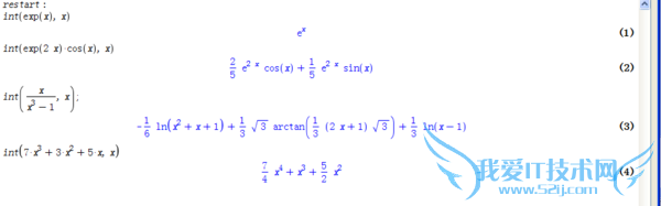
问题4:谁会用Maple 17f := 7*x^3+3*x^2+5*x;int(f,x);为什么求不出正确的答案?输入了这个后在那里求答案?为什么我求出来的 是 int(int(f,x),x);1 2- f x 2是不是maple 无法计算稍微难点的不定积分 比如 看图第三[数学科目]

问题5:MAPLE怎么样
这家在地王广场,都是卖衣服的,种类比较多,感觉针对的消费人群都是年轻人,感觉比较时尚
- explicitly_...People() is undefined.Must expli
- strcmp_strcmp(a,"1234")=0
- 张角_物理名词张角的定义要尽快哦[数学]
- 高中数学复习题_高一数学必修4的135页的练习题.求
- sscanf_sscanf(data,"D1=%[^&]
- unsv_珍惜用英文怎么说 site:www.unsv.com[数学]
- floyd算法_怎么根据Floyd算法 从多个顶点中选出几
- lingo教程_...end 在lingo实现时显示错误有个教程
- f.t island_f.t island怎么读[数学]
- 反三角函数定义域_反三角函数~arcsinarccosarctan
- 评论列表(网友评论仅供网友表达个人看法,并不表明本站同意其观点或证实其描述)
-
