欢迎您访问52IJ教育培训网,今天小编为你分享的语文方面的学习知识是通过网络精心收集整理的:“天上月圆人间月半_请看下题上联:天上月圆人间月半,月月月圆逢月半下联:...[语文]”,注意:所整理内容不代表本站观点,如你有补充或疑问请在正文下方的评论处发表。下面是详细内容。
上联:天上月圆人间月半,月月月圆逢月半
下联:今夕( 年)尾明朝(年)头,(年)(年)(年)尾接(年)头
其他回答
上联:天上月圆人间月半,月月月圆逢月半
下联:今夕( )尾明朝( )头,( )( )( )尾接( )头
填 日
其他类似问题
问题1:看下这题谢谢了! [数学科目]
S1、S2同时闭合时,电流通过R1、R3,不通过R2,0.9A=6V/R1+6V/R3,求得R3=20欧姆.
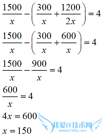
问题2:看下题!1500/x-(300/x+1200/2x)=4[数学科目]

问题3:帮看下这道题
拍成这样 谁看的清啊
问题4:求题!看下面!这个1[数学科目]
已知直角梯形的与图中半圆的直径的公共边再做一个与已知直角梯形全等的直角梯形,
根据直角梯形的面积公式(上底+下底)乘以高除以2,可得这个梯形的高为6cm
从而可以算出图中圆的面积,
∵AD=DE=8cm,BC=CF=10cm
∴可以算出半圆ACE的面积
将半圆ACE的面积减去图中圆O的面积除以2即阴影部分面积
希望能够帮助您,并采纳我的回答,

问题5:–Did we have to wait for Tom –Well ,_________very angry if we hadn’t waited for him .A、he’d have beenB、he wereC、he had beenD、he must be“Will somebody go and get Dr.White?” “He’s already been___.” A、asked forB、sent forC[英语科目]
–Did we have to wait for Tom ? –Well , _________very angry if we hadn’t waited for him .
A、he’d have been
“Will somebody go and get Dr.White?” “He’s already been___.”
B、sent for
42、 Try to keep the meat ______ the dog.
D、away from
43、 My suggestion is _______________.
A、we should go by bus
44、 —What do you feel about that, Mary? —I feel _________ that should not have been done so carelessly.
B、strongly
“Have you started writing your composition yet?” “No, I really don't know ___.”
C、what to write on
–I started to study , but then a friend called . –That’s no excuse ____________ .
D、not to studying
49、 He has flown_____to get here.
D、hundreds of miles
50、 When you phoned me yesterday evening, I _______ the housework and was starting to take a bath.
A、had just finished
- 评论列表(网友评论仅供网友表达个人看法,并不表明本站同意其观点或证实其描述)
-
