欢迎您访问52IJ教育培训网,今天小编为你分享的数学方面的学习知识是通过网络精心收集整理的:“傅立叶变换_可以对F(w)用傅里叶变换吗[数学]”,注意:所整理内容不代表本站观点,如你有补充或疑问请在正文下方的评论处发表。下面是详细内容。
理论上傅里叶变换是对时域函数的变换,即f(t).积分也是对时间积分,如果函数f的变量与时间t无关,那么相当于对常数C积分.从数学的角度来说 这时候是不可以直接进行傅里叶变换的,因为他不满足傅里叶变换要求的三个条件中的“绝对可积”.
但是通过对 2*π*δ(w) (频域函数)进行反变换.
于是我们得到 1 (时域)的傅里叶变换变换对是2*π*δ(w) (频域).
所以F(w)的 变换对 是 2*π*δ(w) *F(w),但这其实没有什么意义.因为1这样的信号根本不存在.这里强调一点,“1”不是阶跃响应.“1”这个信号也不是因果信号,他表示从t=-∞开始,幅值一直为1的信号,所以不满足h(t)=0,对于t
其他类似问题
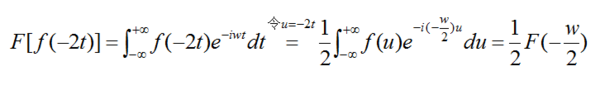
问题1:若F[f(t)]=F(w),那么f(-2t)的傅里叶变换是多少,为什么?[数学科目]

问题2:傅里叶变换,若f(x)实偶,证明f的傅里叶变换F(w)也是实偶函数[数学科目]

不知道e的(-jw)怎么输,凑合看吧,哪位大神知道求指导
问题3:已知f(x)的傅里叶变换F(w)如何求x^3*f(2x)的傅里叶变换
F【f(2x)】=1/2 * F(w/2)
F【x^3f(2x)】=i^3 * (1/2 * F(w/2))'''=-i/16F'''(w/2)
问题4:信号傅里叶变换,一会是H(w)一会是H(f)有区别么?
没什么区别 表示不同而已.这都可以看做频域 W=2*PI*f 你懂的.
问题5:f(t)=t有没有傅里叶变换[数学科目]
不存在
- 评论列表(网友评论仅供网友表达个人看法,并不表明本站同意其观点或证实其描述)
-
