欢迎您访问52IJ教育培训网,今天小编为你分享的数学方面的学习知识是通过网络精心收集整理的:“gamma值是什么_gamma函数连续性怎么证明本人大一,现在需要一个相对...[数学]”,注意:所整理内容不代表本站观点,如你有补充或疑问请在正文下方的评论处发表。下面是详细内容。




其他类似问题
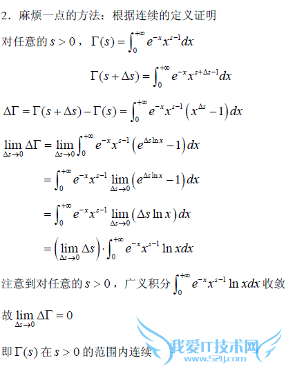
问题1:什么是函数的连续性?如何证明函数的连续性?[数学科目]
若函数f(x)在定义域内一点x0满足x趋于x0时的f(x)的极限=f(x0),则称f(x)在该点连续.至于证明函数的连续性,就是使用这个定义证明.其实,真正用到连续性时,都是由那几个基本函数的连续性推导出来的,基本上不需要什么证明.
问题2:函数的连续性与一致连续性的证明区别[数学科目]
①连续是从点出发定义的.x0是定义域一点,对任意ε>0,存在δ>0,使得当|x-x0|<δ时
|f(x)-f(x0)|<ε,则称为在x0连续.然后才定义了区间上的连续,如果在(a,b)区间每一点都连续就称在(a,b)区间连续.
注意这个定义最根本还是从一个点x0出发的,所以给了一个ε>0,你找的那个δ>0可以和x0和ε都有关系.对于不同的x0,即使给的ε是同一个数,找的δ也往往不同.
②一直连续直接从全局出发定义:在一个区间上如果任给ε>0,都存在一个δ>0,使得区间上任意两个点x'和x''只要满足了|x'-x''|<δ,那么就有|f(x')-f(x'')|<ε,就在区间上称为一致连续.
楼主应该发现了,一直连续相当于给了一个ε>0以后可以找到一个公共的δ,所有区间上的x一致地适用.换句话说,如果把连续的定义里面加上存在一个和x0无关的δ,那么就是一直连续的等价定义.
上面说的都是理解层面的,具体解题还是按照原式定义出发比较方便,个人认为.
问题3:函数连续性的证明问题.就是图片上的题,不要用微积分上的证明方法,最好用 f连续即开集的原像是开集来证明[数学科目]
x,y在什么范围内讨论?我就当成拓扑群吧~应该足够广泛了.
按拓扑里的连续定义——开集的原像是开集,容易证明连续函数的复合函数仍然连续.
h(x,y)=u(x,y^(-1))=u(x,v(y)). 由于u,v都连续,故h连续.
问题4:函数连续性的证明已知f(x)和g(x)在x0处连续,求证h(x)=max(f(x),g(x))在x0处连续.[数学科目]
首先若f(x)在某点连续,则易证|f(x)|也在那点连续
而h(x)=(f(x)+g(x)+|f(x)-g(x)|)/2
所以h(x)在x0处连续
问题5:一道函数连续性的证明题若f(x)在x=0处连续,且f(x+y)=f(x)+f(y),对任意x,y∈(-无穷,+无穷)都成立,试证明f(x)为(-无穷,+无穷)上的连续函数[数学科目]
当x=0时,f(y)=f(0)+f(y)
则f(0)=0
由于f(x)在x=0处连续,则有f(x)->0(x-->0)
对任意有
f(x+Δx)-f(x)=f(Δx)-->0 当Δx-->0
所以得证f(x)的连续性
- 评论列表(网友评论仅供网友表达个人看法,并不表明本站同意其观点或证实其描述)
-
