欢迎您访问52IJ教育培训网,今天小编为你分享的数学方面的学习知识是通过网络精心收集整理的:“seh_关于sehx积分问题求sech(x)^2 sech(x)^2tanh(x)^2 se...[数学]”,注意:所整理内容不代表本站观点,如你有补充或疑问请在正文下方的评论处发表。下面是详细内容。
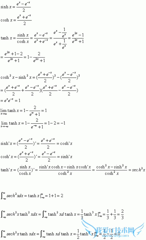
(1)
=2
(2)
=2/3
(3)
=0

其他类似问题
问题1:∫√(a²+x²)dx= a为常数[数学科目]
令x=a*tanβ
dx=a*sec²β dβ
√(a²+x²)=√(a²+a²*tan²β)=a*secβ
∫√(a²+x²) dx=a²*∫sec³β dβ
计算∫sec³β dβ
=∫secβ d(tanβ)
=secβtanβ-∫tanβ d(secβ)
=secβtanβ-∫secβtan²β dβ
=secβtanβ-∫secβ(sec²β-1) dβ
=secβtanβ-∫sec³β dβ+∫secβ dβ
∵2∫sec³β dβ=secβtanβ+∫secβ dβ
∫sec³β dβ=(1/2)[secβtanβ+ln|secβ+tanβ|]+C
=(1/2)(x/a)[√(a²+x²)/a]+(1/2)ln|(x/a)+√(a²+x²)/a|+C
=[1/(2a²)]x√(a²+x²)+(1/2)ln|x+√(a²+x²)|+K,C和K为任意常数
∴原式=(1/2)x√(a²+x²)+(a²/2)ln|x+√(a²+x²)|+K
问题2:怎样获得积分
问的很仓促,1、打比赛获得积分和经验,2、开果实,3、训练得积分和经验,4、TY充点送积分.积分要去官网兑换.知道的就这些了,或许也就只有这几种方法.
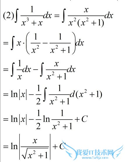
问题3:1:根号(x^2-4)积分求函数y对x的积分.[数学科目]



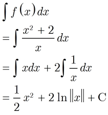
问题4:已知f(x)=(x2+2)/x,那么∫ f(x)dx=用纸写出来好不好[数学科目]

问题5:一道积分题!x*根号(a-x^2)的积分是多少啊?[数学科目]
-(a - x^2)^(3/2)/3
- 评论列表(网友评论仅供网友表达个人看法,并不表明本站同意其观点或证实其描述)
-
