欢迎您访问52IJ教育培训网,今天小编为你分享的数学方面的学习知识是通过网络精心收集整理的:“minecraft1.3.1_...(1)若DE∥平面A1MC1,求CE EB(2)求直线BC和平面A1...[数学]”,注意:所整理内容不代表本站观点,如你有补充或疑问请在正文下方的评论处发表。下面是详细内容。

其他类似问题
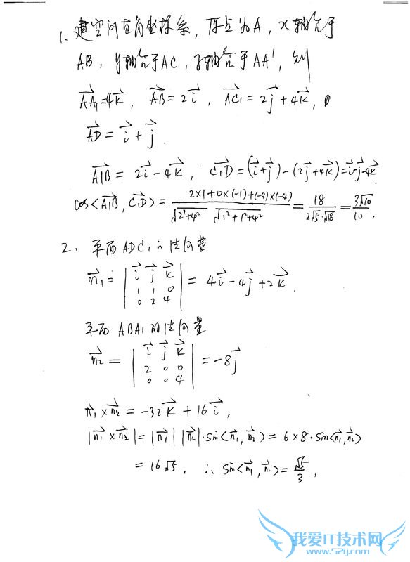
问题1:如图,在直三棱柱A1B1C1-ABC中,AB⊥AC,AB=AC=2 AA1=4,点D是BC的中点 用向量的方法!如图,在直三棱柱A1B1C1-ABC中,AB⊥AC,AB=AC=2 AA1=4,点D是BC的中点1 求异面直线A1B与C1D所成角的余弦值(答案:3倍根号下10/10[数学科目]

问题2:在三棱柱ABC—A1B1C1中,D是AB的中点,求证:AC1‖面CDB1[数学科目]
取A1B1中点D1.连C1D1,AD1.因CD‖C1D1,AD1‖DB1.所以面AC1D1‖面CDB1.得AC1‖CDB1
问题3:如图在直三棱柱ABC-A1B1C1中,AB=BC=2AA1[数学科目]
(1)连A1C交AC1于N
连MN
易知N为A1C中点
由中位线知A1B//MN
故A1B//平面AMC1
(2)以B为原点,BC为X轴,AB为Y轴,BB1为Z轴,建系
设AA1为单位长度1,则A(0,-2,0),M(-1,0,0),C1(-2,0,2),C(-2,0,0)
于是向量AM=(-1,2,0),向量C1M=(1,0,-2)
设平面AMC1法项量n=(x,y,z)
由n垂直AM,n垂直C1M,得 -x+2y=0,x-2z=0
令x=2则y=z=1 故n=(2,1,1)
又向量CC1=(0,0,2),另设所成角为?
则 sin?=|cos|=|CC1*n/|CC1||n||=√6/6
(3)设N(0,-t.2),t属于[0,2]
AN=(0,2-t,2),MC1=(-1,0,2)
cos60度=|3/√(2-t)^2+2^2*√(-1)^2+2^2|=3/√5√(2-t)^2+20=1/2
解得t=(10-4√5)/5或(10+4√5)/5(舍)
即B1N==(10-4√5)/5处
分有点少啊!
问题4:如图,在直三棱柱A1B1C1-ABC中,AB⊥BC,E,F分别是A1B,AC1的中点,)(1)求证:EF∥平面ABC(2)求证:平面AEF⊥平面AA1B1B[数学科目]
证明1连结A1C,
由A1C1CA 是矩形
则A1C必过AC1的中点F
即F是A1C的中点
同理E是A1B的中点
则EF是ΔA1BC的中位线
即EF//BC
又由BC在平面ABC中
EF在平面ABC外
则EF//平面ABC
2由A1B1C1-ABC是直棱柱
则B1B⊥BC
即BC⊥B1B
又由BC⊥BA
即BC垂直平面ABB1A1
又由(1)知EF//BC
即EF⊥平面ABB1A1
而EF在平面AEF中
则平面AEF⊥平面AA1B1B
问题5:直三棱柱ABC-A1B1C1中,AB=AC=1/2AA1=a,直三棱柱ABC-A1B1C1中,AB=AC=1/2 AA1=a,角BAC=90°,D为棱B1B的中点.求异面直线A1C与C1D所成角的大小.[数学科目]
分别取CC1、A1C1的中点E、F,连结EF、BE、BF、B1F.
∵直三棱柱ABC-A1B1C1
∴BB1//CC1且BB1=CC1
∵D、E分别是BB1、CC1的中点
∴BD=(1/2)BB1,C1E=(1/2)CC1
∴BD//C1E且BD=C1E.
∴四边形BDC1E是平行四边形.
∴BE//C1D
∵E、F分别是CC1、A1C1的中点
∴EF是△A1C1C的中位线
∴EF//A1C
∴∠BEF就是求异面直线A1C与C1D所成的角.
由题意:B1F^2=A1B1^2+A1F^2=a^2+(a/2)^2=5a^2/4.
则BF^2=BB1^2+B1F^2=(2a)^2+5a^2/4=21a^2/4.
而BE=√(BC^2+CE^2)=√(AB^2+AC^2+CE^2)=√(a^2+a^2+a^2)=(√3)a
EF=√(C1E^2+C1F^2)=√[a^2+(a/2)^2]=(√5)a/2
∴cos∠BEF=(BE^2+EF^2-BF^2)/(2*BE*EF)=-(√15)/15
∴异面直线A1C与C1D所成角的大小就是arccos[-(√15)/15].
- 评论列表(网友评论仅供网友表达个人看法,并不表明本站同意其观点或证实其描述)
-
